An executable file that participates in
dynamic linking shall have one
PT_INTERP
program header element.
During
exec
(BA_OS),
the system retrieves a path name from the PT_INTERP
segment and creates the initial process image from
the interpreter file's segments. That is,
instead of using the original executable file's
segment images, the system composes a memory
image for the interpreter.
It then is the interpreter's responsibility to
receive control from the system and provide an
environment for the application program.
As ``Process Initialization'' in Chapter 3 of the processor supplement mentions, the interpreter receives control in one of two ways. First, it may receive a file descriptor to read the executable file, positioned at the beginning. It can use this file descriptor to read and/or map the executable file's segments into memory. Second, depending on the executable file format, the system may load the executable file into memory instead of giving the interpreter an open file descriptor. With the possible exception of the file descriptor, the interpreter's initial process state matches what the executable file would have received. The interpreter itself may not require a second interpreter. An interpreter may be either a shared object or an executable file.
mmap
(KE_OS) and related services
[See ``Virtual Address Space'' in Chapter 3 of the processor
supplement].
Consequently, a shared object interpreter typically will
not conflict with the original executable file's
original segment addresses.
PT_INTERP
to an executable file, telling the system to invoke
the dynamic linker as the program interpreter.
Exec
(BA_OS)
and the dynamic linker cooperate to
create the process image for the program, which entails
the following actions:
exec
(BA_OS).
The link editor also constructs various data that assist the dynamic linker for executable and shared object files. As shown above in ``Program Header'', this data resides in loadable segments, making them available during execution. (Once again, recall the exact segment contents are processor-specific. See the processor supplement for complete information).
.dynamic
section with type SHT_DYNAMIC
holds various data.
The structure residing at the
beginning of the section holds the addresses
of other dynamic linking information.
.hash
section with type SHT_HASH
holds a symbol hash table.
.got
and .plt
sections with type
SHT_PROGBITS
hold two separate tables:
the global offset table and the procedure linkage table.
Chapter 3 discusses how programs use the global offset table
for position-independent code.
Sections below explain how the dynamic linker uses
and changes the tables to create memory images for object files.
Because every ABI-conforming program imports the basic system services from a shared object library [See ``System Library'' in Chapter 6], the dynamic linker participates in every ABI-conforming program execution.
As `Program Loading'' explains in the processor supplement, shared objects may occupy virtual memory addresses that are different from the addresses recorded in the file's program header table. The dynamic linker relocates the memory image, updating absolute addresses before the application gains control. Although the absolute address values would be correct if the library were loaded at the addresses specified in the program header table, this normally is not the case.
If the process environment [see exec
(BA_OS)]
contains a variable named LD_BIND_NOW
with a non-null value, the dynamic linker processes
all relocations before transferring control to the program.
For example, all the following environment entries
would specify this behavior.
LD_BIND_NOW=1
LD_BIND_NOW=on
LD_BIND_NOW=off
LD_BIND_NOW
either
does not occur in the environment or has a null value.
The dynamic linker is permitted to evaluate procedure linkage table
entries lazily, thus avoiding symbol resolution and relocation
overhead for functions that are not called.
See ``Procedure Linkage Table'' in this chapter of the processor
supplement for more information.
If an object file participates in dynamic linking,
its program header table will have an element of type
PT_DYNAMIC
.
This ``segment'' contains the .dynamic
section.
A special symbol, _DYNAMIC
,
labels the section, which contains
an array of the following structures.
typedef struct {
Elf32_Sword d_tag;
union {
Elf32_Word d_val;
Elf32_Addr d_ptr;
} d_un;
} Elf32_Dyn;
extern Elf32_Dyn _DYNAMIC[];
typedef struct {
Elf64_Sxword d_tag;
union {
Elf64_Xword d_val;
Elf64_Addr d_ptr;
} d_un;
} Elf64_Dyn;
extern Elf64_Dyn _DYNAMIC[];
For each object with this type, d_tag
controls the interpretation of d_un
.
d_val
d_ptr
To make it simpler for tools to interpret the contents of
dynamic section entries, the value of each tag, except for those in
two special compatibility ranges,
will determine the interpretation of the d_un
union. A tag whose value is an even number
indicates a dynamic section entry that uses d_ptr
.
A tag whose value is an odd number indicates a dynamic section entry
that uses d_val
or that uses neither d_ptr
nor d_val
. Tags whose values are less
than the special value DT_ENCODING
and tags
whose values fall between DT_HIOS
and
DT_LOPROC
do not follow these rules.
The following table summarizes the tag requirements for executable and shared object files. If a tag is marked ``mandatory'', the dynamic linking array for an ABI-conforming file must have an entry of that type. Likewise, ``optional'' means an entry for the tag may appear but is not required.
d_tag
Name | Value | d_un |
Executable | Shared Object |
---|---|---|---|---|
DT_NULL |
0 |
ignored | mandatory | mandatory |
DT_NEEDED |
1 |
d_val |
optional | optional |
DT_PLTRELSZ |
2 |
d_val |
optional | optional |
DT_PLTGOT |
3 |
d_ptr |
optional | optional |
DT_HASH |
4 |
d_ptr |
mandatory | mandatory |
DT_STRTAB |
5 |
d_ptr |
mandatory | mandatory |
DT_SYMTAB |
6 |
d_ptr |
mandatory | mandatory |
DT_RELA |
7 |
d_ptr |
mandatory | optional |
DT_RELASZ |
8 |
d_val |
mandatory | optional |
DT_RELAENT |
9 |
d_val |
mandatory | optional |
DT_STRSZ |
10 |
d_val |
mandatory | mandatory |
DT_SYMENT |
11 |
d_val |
mandatory | mandatory |
DT_INIT |
12 |
d_ptr |
optional | optional |
DT_FINI |
13 |
d_ptr |
optional | optional |
DT_SONAME |
14 |
d_val |
ignored | optional |
DT_RPATH* |
15 |
d_val |
optional | ignored |
DT_SYMBOLIC* |
16 |
ignored | ignored | optional |
DT_REL |
17 |
d_ptr |
mandatory | optional |
DT_RELSZ |
18 |
d_val |
mandatory | optional |
DT_RELENT |
19 |
d_val |
mandatory | optional |
DT_PLTREL |
20 |
d_val |
optional | optional |
DT_DEBUG |
21 |
d_ptr |
optional | ignored |
DT_TEXTREL* |
22 |
ignored | optional | optional |
DT_JMPREL |
23 |
d_ptr |
optional | optional |
DT_BIND_NOW* |
24 |
ignored | optional | optional |
DT_INIT_ARRAY |
25 |
d_ptr |
optional | optional |
DT_FINI_ARRAY |
26 |
d_ptr |
optional | optional |
DT_INIT_ARRAYSZ |
27 |
d_val |
optional | optional |
DT_FINI_ARRAYSZ |
28 |
d_val |
optional | optional | DT_RUNPATH |
29 |
d_val |
optional | optional | DT_FLAGS |
30 |
d_val |
optional | optional |
DT_ENCODING |
32 |
unspecified | unspecified | unspecified |
DT_PREINIT_ARRAY |
32 |
d_ptr |
optional | ignored |
DT_PREINIT_ARRAYSZ |
33 |
d_val |
optional | ignored |
DT_LOOS |
0x6000000D |
unspecified | unspecified | unspecified |
DT_HIOS |
0x6ffff000 |
unspecified | unspecified | unspecified |
DT_LOPROC |
0x70000000 |
unspecified | unspecified | unspecified |
DT_HIPROC |
0x7fffffff |
unspecified | unspecified | unspecified |
* Signifies an entry that is at level 2.
DT_NULL
DT_NULL
tag marks the end of the
_DYNAMIC
array.
DT_NEEDED
DT_STRTAB
code.
See
``Shared Object Dependencies''
for more
information about these names.
The dynamic array may contain multiple entries with
this type.
These entries' relative order is significant, though their
relation to entries of other types is not.
DT_PLTRELSZ
DT_JMPREL
is present, a
DT_PLTRELSZ
must accompany it.
DT_PLTGOT
DT_HASH
DT_SYMTAB
element.
DT_STRTAB
DT_SYMTAB
Elf32_Sym
entries for the 32-bit class of files and Elf64_Sym
entries for the 64-bit class of files.
DT_RELA
Elf32_Rela
for the 32-bit file class
or Elf64_Rela
for the 64-bit file class.
An object file may have multiple relocation sections.
When building the relocation table for an
executable or shared object file, the link editor
catenates those sections to form a single table.
Although the sections remain independent in the object file,
the dynamic linker sees a single table.
When the dynamic linker creates the process image for
an executable file or adds a shared object to the
process image, it reads the relocation table and performs
the associated actions.
If this element is present, the dynamic structure must also have
DT_RELASZ
and DT_RELAENT
elements.
When relocation is ``mandatory'' for a file, either
DT_RELA
or DT_REL
may occur (both are permitted but not required).
DT_RELASZ
DT_RELA
relocation table.
DT_RELAENT
DT_RELA
relocation entry.
DT_STRSZ
DT_SYMENT
DT_INIT
DT_FINI
DT_SONAME
DT_STRTAB
entry.
See
``Shared Object Dependencies''
below for more
information about these names.
DT_RPATH
DT_STRTAB
entry. This entry is at level 2. Its
use has been superseded by DT_RUNPATH
.
DT_SYMBOLIC
DF_SYMBOLIC
flag.
DT_REL
DT_RELA
,
except its table has implicit addends, such as
Elf32_Rel
for the 32-bit file class
or Elf64_Rel
for the 64-bit file class.
If this element is present, the dynamic structure must also have
DT_RELSZ
and DT_RELENT
elements.
DT_RELSZ
DT_REL
relocation table.
DT_RELENT
DT_REL
relocation entry.
DT_PLTREL
d_val
member holds DT_REL
or DT_RELA
,
as appropriate.
All relocations in a procedure linkage table must use
the same relocation.
DT_DEBUG
DT_TEXTREL
DF_TEXTREL
flag.
DT_JMPREL
d_ptr
member holds the address of relocation entries associated solely
with the procedure linkage table.
Separating these relocation entries lets the dynamic linker ignore
them during process initialization, if lazy binding is enabled.
If this entry is present, the related entries of types
DT_PLTRELSZ
and DT_PLTREL
must also be present.
DT_BIND_NOW
dlopen
(BA_LIB).
This entry is at level 2. Its use has been superseded
by the DF_BIND_NOW
flag.
DT_INIT_ARRAY
DT_FINI_ARRAY
DT_INIT_ARRAYSZ
DT_INIT_ARRAY
entry.
If an object has a DT_INIT_ARRAY
entry, it must
also have a DT_INIT_ARRAYSZ
entry.
DT_FINI_ARRAYSZ
DT_FINI_ARRAY
entry.
If an object has a DT_FINI_ARRAY
entry, it must
also have a DT_FINI_ARRAYSZ
entry.
DT_RUNPATH
DT_STRTAB
entry.
DT_FLAGS
DF_
flag_name.
Defined values and their meanings are described below.
All other values are reserved.
DT_PREINIT_ARRAY
DT_PREINIT_ARRAY
table is processed only
in an executable file; it is ignored if contained in a shared object.
DT_PREINIT_ARRAYSZ
DT_PREINIT_ARRAY
entry.
If an object has a DT_PREINIT_ARRAY
entry, it must
also have a DT_PREINIT_ARRAYSZ
entry. As with
DT_PREINIT_ARRAY
, this entry is ignored if it appears
in a shared object.
DT_ENCODING
DT_ENCODING
and less than DT_LOOS
follow the rules for the interpretation of the d_un
union
described above.
DT_LOOS
through DT_HIOS
d_un
union described above.
DT_LOPROC
through DT_HIPROC
d_un
union described above.
Except for the DT_NULL
element at the end of the array,
and the relative order of DT_NEEDED
elements, entries may appear in any order.
Tag values not appearing in the table are reserved.
DT_FLAGS
values
Name | Value |
---|---|
DF_ORIGIN |
0x1 |
DF_SYMBOLIC |
0x2 |
DF_TEXTREL |
0x4 |
DF_BIND_NOW |
0x8 |
DF_ORIGIN
$ORIGIN
substitution string (see ``Substitution Sequences'').
The dynamic linker must determine the pathname of the object
containing this entry when the object is loaded.
DF_SYMBOLIC
DF_TEXTREL
DF_BIND_NOW
dlopen
(BA_LIB).
When the dynamic linker creates the memory segments for
an object file, the dependencies (recorded in
DT_NEEDED
entries of the dynamic structure)
tell what shared objects are needed to
supply the program's services.
By repeatedly connecting referenced shared objects and
their dependencies, the dynamic linker builds a complete process image.
When resolving symbolic references, the dynamic linker
examines the symbol tables with a breadth-first search.
That is, it first looks at the symbol table of the
executable program itself, then at the symbol tables
of the DT_NEEDED
entries (in order),
and then at the second level DT_NEEDED
entries, and
so on. Shared object files must be readable by the process;
other permissions are not required.
Names in the dependency list are copies either of the
DT_SONAME
strings or the path names of the shared objects used to build
the object file.
For example, if the link editor builds an executable
file using one shared object with a
DT_SONAME
entry of lib1
and another shared object library with the path name
/usr/lib/lib2
, the executable file will contain
lib1
and /usr/lib/lib2
in its dependency list.
If a shared object name has one or more slash (/
)
characters anywhere in the name, such as /usr/lib/lib2
or directory/file
, the dynamic linker uses that string directly
as the path name.
If the name has no slashes, such as lib1
,
three facilities specify shared object path searching.
DT_RUNPATH
gives a string that
holds a list of directories, separated by colons (:
).
For example, the string
/home/dir/lib:/home/dir2/lib:
tells the dynamic linker to search first the directory
/home/dir/lib
, then /home/dir2/lib
,
and then the current directory to find dependencies.
The set of directories specified by a given DT_RUNPATH
entry is used to find only the immediate dependencies
of the executable or shared object containing the DT_RUNPATH
entry. That is, it is used only for those dependencies contained in
the DT_NEEDED
entries of the dynamic structure containing
the DT_RUNPATH
entry, itself.
One object's DT_RUNPATH
entry does not affect the search
for any other object's dependencies.
LD_LIBRARY_PATH
in the process environment [see exec
(BA_OS)]
may hold a list of directories as above, optionally
followed by a semicolon (;
) and
another directory list.
The following values would be equivalent to the previous example:
LD_LIBRARY_PATH=/home/dir/usr/lib:/home/dir2/usr/lib:
LD_LIBRARY_PATH=/home/dir/usr/lib;/home/dir2/usr/lib:
LD_LIBRARY_PATH=/home/dir/usr/lib:/home/dir2/usr/lib:;
Although some programs (such as the link editor) treat the lists before and after the semicolon differently, the dynamic linker does not. Nevertheless, the dynamic linker accepts the semicolon notation, with the semantics described previously.
All LD_LIBRARY_PATH
directories are searched before those from
DT_RUNPATH
.
/usr/lib
or such other
directories as may be specified by the ABI supplement for a
given processor.
When the dynamic linker is searching for shared objects, it is
not a fatal error if an ELF file with the wrong attributes
is encountered in the search. Instead, the dynamic linker
shall exhaust the search of all paths before determining
that a matching object could not be found. For this determination,
the relevant attributes are contained in the following ELF header fields:
e_ident[EI_DATA]
,
e_ident[EI_CLASS]
,
e_ident[EI_OSABI]
,
e_ident[EI_ABIVERSION]
,
e_machine
,
e_type
, e_flags
and e_version
.
LD_LIBRARY_PATH
for set-user and
set-group ID programs.
It does, however, search DT_RUNPATH
directories
and the default directories.
The same restriction may be applied to processes that have more than
minimal privileges on systems with installed extended security
mechanisms.
DT_RPATH
,
has been moved to level 2 in the ABI.
It provides a colon-separated list of directories to search.
Directories specified by DT_RPATH
are searched
before directories specified by LD_LIBRARY_PATH
.
If both DT_RPATH
and DT_RUNPATH
entries appear in a single object's dynamic array,
the dynamic linker processes only the DT_RUNPATH
entry.
DT_NEEDED
or DT_RUNPATH
tags and in
pathnames passed as parameters to the dlopen()
routine, a
dollar sign ($
) introduces a substitution sequence.
This sequence consists of the dollar sign immediately followed
by either the longest name sequence or a name contained
within left and right braces ({
) and (}
).
A name is a sequence of bytes that start with either a letter or
an underscore followed by zero or more letters, digits or underscores.
If a dollar sign is not immediately followed by a name or a
brace-enclosed name, the behavior of the dynamic linker is unspecified.
If the name is ``ORIGIN
'', then the substitution
sequence is replaced by the dynamic linker with the absolute
pathname of the directory in which the object containing the
substitution sequence originated. Moreover, the pathname will
contain no symbolic links or use of ``.
'' or
``..
'' components.
Otherwise (when the name is not ``ORIGIN
'')
the behavior of the dynamic linker is unspecified.
When the dynamic linker loads an object that uses $ORIGIN
,
it must calculate the pathname of the directory containing the object.
Because this calculation can be computationally expensive,
implementations may want to avoid the calculation for objects
that do not use $ORIGIN
.
If an object calls dlopen()
with a string
containing $ORIGIN
and does not use $ORIGIN
in one if its dynamic array entries,
the dynamic linker may not have calculated the
pathname for the object until the dlopen()
actually
occurs. Since the application may have changed its current
working directory before the dlopen()
call,
the calculation may not yield the correct result.
To avoid this possibility, an object may signal its intention
to reference $ORIGIN
by setting the
DF_ORIGIN
flag.
An implementation may reject an attempt to use $ORIGIN
within a dlopen()
call from an object that
did not set the DF_ORIGIN
flag and did not
use $ORIGIN
within its dynamic array.
$ORIGIN
substitution sequences for set-user and
set-group ID programs. For such sequences that appear
within strings specified by DT_RUNPATH
dynamic
array entries, the specific search path containing the
$ORIGIN
sequence is ignored (though other
search paths in the same string are processed).
$ORIGIN
sequences within a DT_NEEDED
entry or path passed as a parameter to dlopen()
are treated as errors.
The same restrictions may be applied to processes that have more than
minimal privileges on systems with installed extended security
mechanisms.
Elf32_Word
objects supports symbol table access. The same table
layout is used for both the 32-bit and 64-bit file class.
Labels appear below
to help explain the hash table organization,
but they are not part of the specification.
nbucket |
nchain |
bucket[0] |
chain[0] |
The bucket
array contains nbucket
entries, and the chain
array contains nchain
entries; indexes start at 0.
Both bucket
and chain
hold symbol table indexes.
Chain table entries parallel the symbol table.
The number of symbol table entries should equal
nchain
;
so symbol table indexes also select chain table entries.
A hashing function (shown below) accepts a symbol name and returns a
value that may be used to compute a bucket
index.
Consequently, if the hashing function returns the value
x for some name, bucket[
x%nbucket]
gives
an index, y,
into both the symbol table and the chain table.
If the symbol table entry is not the one desired,
chain[
y]
gives the next symbol table entry
with the same hash value.
One can follow the chain
links until either the selected symbol table entry
holds the desired name or the chain
entry contains the value
STN_UNDEF
.
unsigned long
elf_hash(const unsigned char *name)
{
unsigned long h = 0, g;
while (*name)
{
h = (h << 4) + *name++;
if (g = h & 0xf0000000)
h ^= g >> 24;
h &= ~g;
}
return h;
}
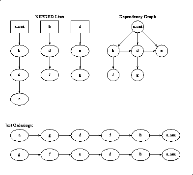
Before the initialization functions for any object A is called, the initialization
functions for any other objects that object A depends on are called.
For these purposes, an object A depends on another object B,
if B appears in A's list of needed objects (recorded in the DT_NEEDED
entries of the dynamic structure).
The order of initialization for circular dependencies is undefined.
The initialization of objects occurs by recursing through the needed entries of each object. The initialization functions for an object are invoked after the needed entries for that object have been processed. The order of processing among the entries of a particular list of needed objects is unspecified.
The following example illustrates two of the possible correct orderings
which can be generated for the example NEEDED lists.
In this example the a.out is dependent on b
, d
, and e
.
b
is dependent on d
and f
, while d
is dependent on e
and g
.
From this information a dependency graph can be drawn.
The above algorithm on initialization will then allow the following
specified initialization orderings among others.
Similarly, shared objects and executable files may have termination
functions, which are executed with the
atexit
(BA_OS) mechanism after the base process begins its
termination sequence.
The termination functions for any object A must be called before
the termination functions for any other objects that object A depends
on. For these purposes, an object A depends on another object B,
if B appears in A's list of needed objects (recorded in the DT_NEEDED
entries of the dynamic structure).
The order of termination for circular dependencies is undefined.
Finally, an executable file may have pre-initialization functions. These functions are executed after the dynamic linker has built the process image and performed relocations but before any shared object initialization functions. Pre-initialization functions are not permitted in shared objects.
The dynamic linker ensures that it will not execute any initialization, pre-initialization, or termination functions more than once.
Shared objects designate their
initialization and termination code in one of two ways.
First, they may specify the address of a function to execute
via the
DT_INIT
and
DT_FINI
entries in the dynamic structure, described in
``Dynamic Section''
above.
Shared objects may also (or instead) specify the address and size of
an array of function pointers. Each element of this
array is a pointer to a function to be executed by the dynamic linker.
Each array element is the size of a pointer in the
programming model followed by the object containing
the array. The address of the array of initialization
function pointers is specified by the DT_INIT_ARRAY
entry in the dynamic structure. Similarly, the address of
the array of pre-initialization functions is specified by
DT_PREINIT_ARRAY
and the address of the array
of termination functions is specified by DT_FINI_ARRAY
.
The size of each array is specified by the DT_INIT_ARRAYSZ
,
DT_PREINIT_ARRAYSZ
, and DT_FINI_ARRAYSZ
entries.
The functions pointed to in the arrays
specified by DT_INIT_ARRAY
and by DT_PREINIT_ARRAY
are executed by the dynamic
linker in the same order in which their addresses appear in
the array; those specified by DT_FINI_ARRAY
are executed in reverse order.
If an object contains both DT_INIT
and DT_INIT_ARRAY
entries, the function referenced
by the DT_INIT
entry is processed before those
referenced by the DT_INIT_ARRAY
entry for that object.
If an object contains both DT_FINI
and DT_FINI_ARRAY
entries, the functions referenced
by the DT_FINI_ARRAY
entry are processed before the one
referenced by the DT_FINI
entry for that object.
atexit
(BA_OS)
termination processing normally will be done,
it is not guaranteed to have executed upon process death.
In particular, the process will not execute the termination processing
if it calls _exit
[see
exit
(BA_OS)]
or if the process dies because it received a signal
that it neither caught nor ignored.
The processor supplement for each processor specifies whether the
dynamic linker is responsible for calling the executable file's
initialization function or registering the executable file's
termination function with
atexit
(BA_OS).
Termination functions specified by users via the
atexit
(BA_OS)
mechanism
must be executed before any termination functions of shared objects.